Monday - Saturday : 10:00 AM - 5:00 PM   |      +1 647 896 3988 |      bhumika@micakitchenandbath.ca

Maintenance

Solid wood furniture requires maintenance. Please refer to the following guide to prevent damage and extend its life span.

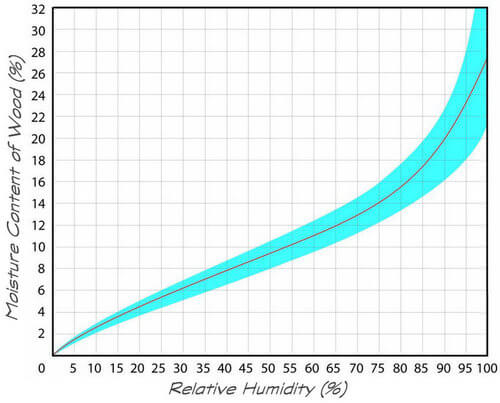
Moisture Content (MC): Refers to the percentage of moisture existing within a piece of wood. All wood starts green, when a piece of lumber is cut down from the tree, depending on the species of the wood, typical MC within green wood ranges from 35% to over 150%. No matter how dry the wood appears to be, there will always be a certain amount of moisture. In solid wood furniture, the standard amount of moisture kept in the wood is around 8%, the reason behind this requirement will be explained below.

Relative Humidity (RH): Refers to the percentage of water vapour existing within an area at a specific temperature. In other words, the moisture content in the air. The ideal RH for healthy and comfortable indoors should be maintained between 40-50%.

Maintaining Balance: Since we know the ideal RH & MC level for indoors, the chart below can help us identify the optimum balance between them. However, if the RH within the room is affected by any means, the balance between RH and MC is lost which could potentially lead to an issue called Wood Movement.

Wood Movement:  Wood is sensitive to moisture change, the natural characteristics of wood causes it to always either lose or gain moisture, depending on the exposure of the wood to RH. If the wood is in an area where the RH is higher than the equilibrium, then the wood will gain moisture as a way to re-establish balance, thus causing wood expansion. If the wood is in an area where the RH is lower than it will cause shrinkage. It is rare for issues due to excessive moisture to occur in North America, however issues due to lack of moisture content in the air can be very common. The Canadian winter is extreme and the temperature can change dramatically throughout the year. During the winter to maintain comfortable indoor temperature, furnace use dries out the moisture in the house, causing the RH level to drop below the required 40%.So the wood furniture loses its moisture content, causing wood shrinkage, forcing the joints of the wood door to split.

Shrinkage of centre panel due to low RH level in Stained kitchen door

Wood joint splitting due to low RH level in Painted kitchen door

Damage Control: To repair wood movement issues in your kitchen use the following steps.

 

Mohawk touch up stain and putty stick

  • Increase RH within the kitchen area. When the humidity level is rebalanced within the room, the moisture content within the wood will increase as well. For most stained cabinet doors, the problem with centre panel shrinkage will most likely resolve by itself once the centre panel expands back to its original size. For painted cabinet doors, the splitting gap in the wood joint portion will close up to a degree, however since the painted joint of the door is already cracked open, it is impossible for it to return to its original condition.
  • Re-apply staining to the exposed wood part of the centre panel for stained cabinet doors. This will hide the raw wood colour, making the issue appear unnoticeable. Stain markers are also good for touching up minor scratches and common wear and tear. You will be able to find stain markers in your local hardware store.
  • Touch up putty is a good option to fill in the split gap for any painted cabinet doors. Touch up brands such as Mohawk, offer multiple colours options.
     
    Cleaning and preventing damage of Quartz countertop:

          Cleaning:

  • Regular cleaning should be done with a mild soap or detergent and a soft cloth. Make sure the soap is non-bleach and non-abrasive.
  • Although stain resistant, Quartz countertops are not stain proof. Wipe up liquids as soon as possible. Quartz will resist stains for a short period of time, but all colored liquids should be cleaned up promptly.
  • A glass or surface cleaner, such as Quartz surface cleaner (available in superstore), can be used for heavy or dried stains. Use a non-abrasive sponge. For deep cleaning, spray a generous amount; leave on for ten minutes, then wipe away.
  • Scrape away grease, gum, and paint with a plastic putty knife or razor blade. Use a degreasing cleanser, formulated for Quartz countertops, to clean off grease. Wipe away immediately.
  • Remove ink or permanent markers carefully with an oil-based cleaner. Rinse with warm water immediately after the stain is removed.
  • Heavy, stuck on, hard to remove stains such as nail polish can be removed with a mixture of acetone, Quartz surface cleaner and water. Dilute the Quartz surface cleaner to the point of minimal abrasiveness. Wipe away immediately.

        Preventing Countertop Damage

  • Use hot pads or trivets for pans, crockpots, and electric skillets. Quartz can resist temperatures up to 300 degrees Fahrenheit, but it can be damaged by quick changes in temperature. Also known as “thermal shock.”
  • Avoid using knives directly on Quartz countertops. Quartz is very scratch resistant, but they can be damaged when forcefully hit with sharp objects. A cutting board is recommended.
  • Avoid direct cleaning with highly acidic or alkaline cleaners, such as nail polish remover, turpentine, oven cleaner, bleach, drain cleaners, dishwasher rinsing agents, etc. Clean immediately with a mild detergent and rinse, if they are spilled.
  • Avoid pressure or force on your countertops, such as dropping a heavy pot, as it can chip or crack the stone.